THE EFFICACY OF OOLITIC ARAGONITE FOR AMMONIA CONTROL AND MICROBIAL MODULATION IN BROILER LITTER

Loading...
Thumbnail Image

Files

Feeney_umd_0117N_25493.pdf (5.43 MB)
No. of downloads: 89
image001.png (311.06 KB)
No. of downloads: 10
image002.jpg (56.43 KB)
No. of downloads: 11
image003.jpg (43.06 KB)
No. of downloads: 13
image004.jpg (68.19 KB)
No. of downloads: 10

Publication or External Link

Date

Advisor

Place, Allen

Citation

Abstract

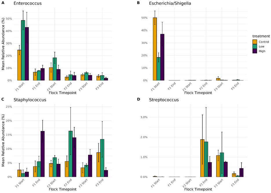
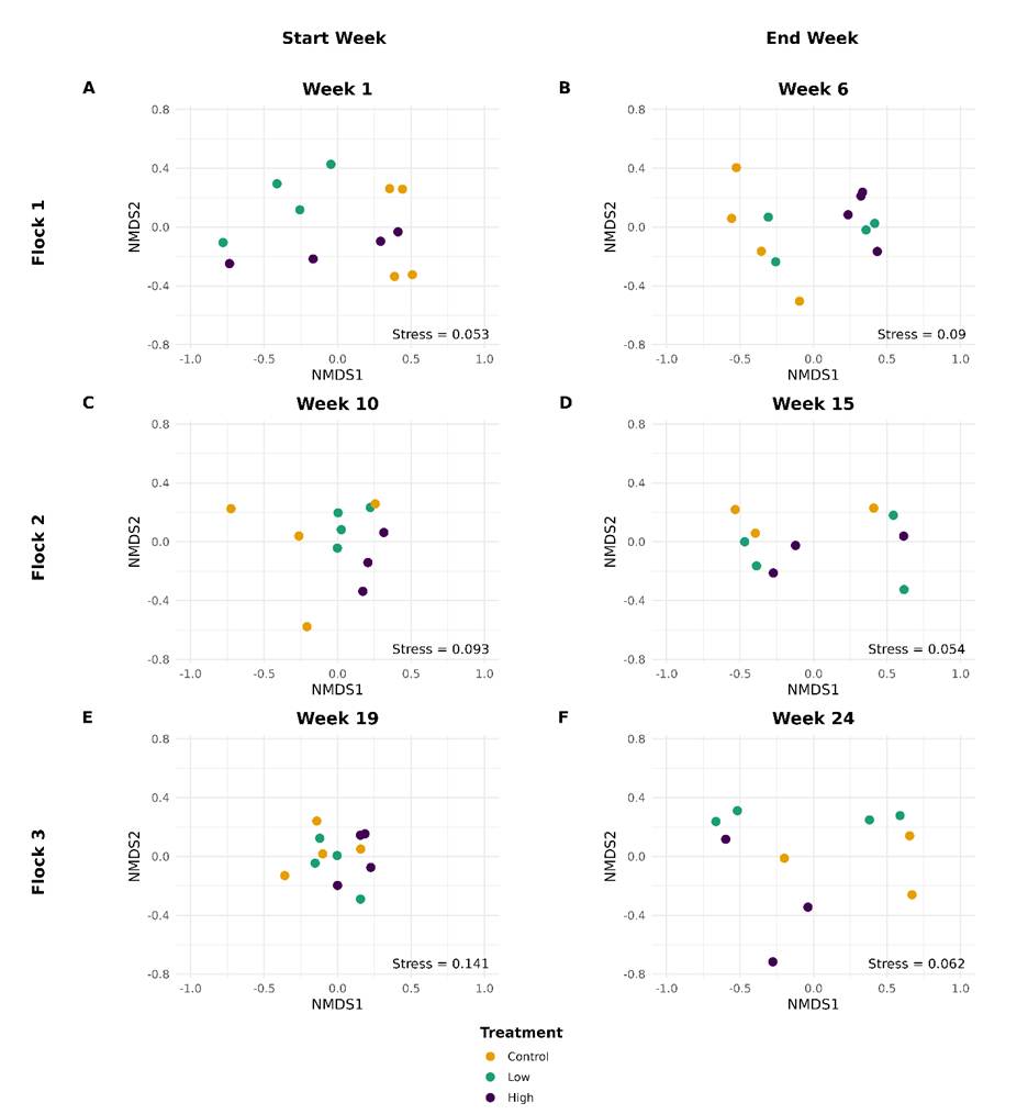
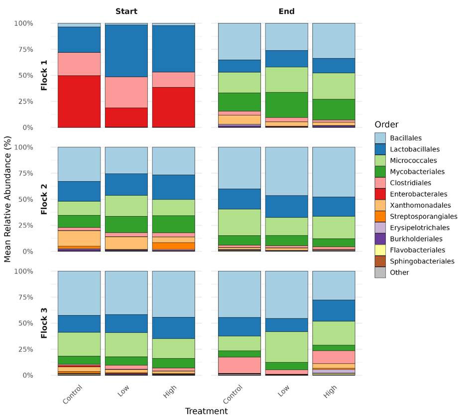
Ammonia (NH3) emissions from broiler production raise environmental, agronomic, and animal welfare concerns. This study evaluated oolitic aragonite (OA), a calcium carbonate-rich Bahamian sand, as a broiler litter amendment to reduce NH3 emissions, improve nitrogen retention, and shape microbial communities. Three consecutive 6-week broiler flocks were raised in environmentally controlled chambers with litter prepared from wood shavings and OA sand at 100:0, 80:20, and 60:40 (shavings:OA) weight ratios. Chamber environmental conditions were continuously monitored, and weekly composite litter samples were analyzed for pH, uric acid, moisture, and water activity. At the end of each flock, litter was tested for total nitrogen, ammonia-N, ammonium-N, and total phosphorus (as P2O5). Despite initial hypotheses that OA would regulate NH3 volatilization through reducing water activity and promoting nitrifying/denitrifying pathways, no significant differences were observed between OA and control litter in NH3 emissions, total nitrogen, uric acid, or water activity. The NH3 flux rose during flock cycles and peaked after windrow composting across all treatments. Microbial community analysis (16S rRNA sequencing) of start and end samples from each flock showed alpha and beta diversity were driven mainly by temporal succession, with shifts from gut-associated taxa (e.g., Enterococcus, Escherichia/Shigella, Clostridium_sensu_stricto) to litter-adapted genera (e.g., Corynebacterium, Brachybacterium, Salinicoccus). While differential abundance testing found few consistent treatment effects, Lysobacter, a genus associated with antimicrobial activity, was persistently enriched in OA treated litter. Observed effects on microbial diversity were subtle and did not result in meaningful functional shifts in the broader community composition between treatments. While OA as a standalone amendment did not significantly affect NH₃ emissions, its selective enrichment of Lysobacter warrants further investigation.

Notes

Rights